Thông thường việc đánh giá kết quả thực hiện công việc theo KPI trong doanh nghiệp được thực hiện qua 5 bước sau:
Bước 1: Xác định được các KPI trong đánh giá thực hiện công việc.
Để có thể đánh giá, đo lường mức độ hoàn thành công việc theo KPI tổ chức doanh nghiệp cần giao mục tiêu cụ thể trong thực hiện công việc thay vì chỉ giao nhiệm vụ. Một nhiệm vụ có thể có nhiều mục tiêu khác nhau, tương ứng có nhiều cách đo lường khác nhau. Ví dụ nhiệm vụ đào tạo có thể có các mục tiêu và cách đo lường, đánh giá tương ứng khác nhau:
Mục tiêu và cách đo lường kết quả đào tạo
| Mục tiêu | Cách đo lường/ đánh giá |
| Số lượt người/ khoá đào tạo | Số lượt người/ khoá/giờ đào tạo |
| Kết quả đào tạo (kiểm tra) | Kết quả điểm số của học viên |
| Sự thích thú của người học | Phiếu khảo sát mức độ thỏa mãn của học viên |
| Thay đổi nhận thức, hành vi | Quan sát, ghi nhận sự thay đổi của học viên lúc trước và sau đào tạo |
| Gia tăng năng suất, chất lượng | So sánh năng suất, hiệu quả của học viên lúc trước và sau đào tạo |
| Giảm tổn thất do sai sót |
Từ mục tiêu chiến lược công ty, xác định mục tiêu công ty trong năm tiếp theo. Từ mục tiêu công ty và chức năng nhiệm vụ phòng ban để xác định mục tiêu phòng ban.
Bước 2: Phân loại các mức độ thoả mãn mục tiêu khi thực hiện công việc
Mỗi mục tiêu cần quy định rõ chỉ tiêu cụ thể, ví dụ: mức độ thỏa mãn của CBNV tăng 10%, doanh thu tăng 20%, chi phí/doanh thu giảm 5%, v.v… mới có thể đo lường, đánh giá kết quả cụ thể, tránh kiểu giao mục tiêu chung chung như khẩu hiệu kiểu: nâng cao hiệu suất máy móc thiết bị, đảm bảo đời sống CBNV, hoặc bảo đảm nguồn hàng ổn định,v.v…
Thông thường, mỗi mục tiêu được phân thành 5 mức độ: xuất sắc, vượt trội, đạt yêu cầu, chưa đạt yêu cầu và kém. Lưu ý: Mức độ đạt yêu cầu (3 điểm) là hoàn thành 100% mục tiêu. Về nguyên tắc, khi thực hiện đúng chức năng nhiệm vụ, công việc không bị ảnh hưởng bởi các yếu tố không kiểm soát được như báo cáo đúng hạn, không sai sót; v.v… chỉ đạt mức độ cao nhất là 100%. Tuy nhiên, trong thực tế, để bảo đảm tính khả thi trong thực hiện, các doanh nghiệp có thể du di chút ít, ví dụ: cho phép đạt mục tiêu là 100% khi phòng ban chỉ bị phàn nàn 1 lần trong 1 năm vì thiếu phối hợp. Mức độ kém (1 điểm) là không thể chấp nhận được, có thể cho nghỉ việc hoặc phải chuyển sang thực hiện công việ̣c khác. Mức độ kém thường chỉ xảy ra khi nhân viên có lỗi do chủ quan (thiếu trách nhiệm, thiếu năng lực, vô ý, v.v…gây hậu quả xấu). Mức độ chưa đạt có thể xảy ra khi nhân viên có lỗi do chủ quan (thiếu trách nhiệm, thiếu năng lực, vô ý, v.v…) và cũng có thể xảy ra khi nhân viên đã cố gắng nhưng thiếu may mắn do tác động bên ngoài (không đạt doanh số, nợ quá hạn cao,v.v…). Mức độ xuất sắc thể hiện nhân viên đạt kết quả vượt xa ngoài mong đợi (điểm 5). Ở mỗi mức độ, nên có các điểm minh hoạ cụ thể cho nhân viên.
Bước 3: Đánh giá tầm quan trọng (trọng số) của mỗi nhóm mục tiêu đối với kết quả thực hiện công việc của nhân viên
Các mục tiêu khác nhau có tầm quan trọng khác nhau đối với hiệu quả thực hiện công việc của chức danh, điều này cần được thể hiện qua điểm trọng số của từng mục tiêu. Có thể áp dụng các phương pháp sau đây để xác định trọng số của mỗi mục tiêu:
- Áp đặt tỷ lệ phần trăm trực tiếp cho mỗi mục tiêu. Khi chỉ có dưới 5 mục tiêu, việc áp dụng phương pháp này dễ dàng. Khi có nhiều mục tiêu, nên phân chia các mục tiêu thành một số nhóm. Ví dụ nhóm mục tiêu về tài chính, nhóm mục tiêu về khách hàng, …để xác định trọng số cho từng nhóm mục tiêu. Sau đó lại xác định trọng số cho các mục tiêu con trong mỗi nhóm mục tiêu. Ví dụ nhóm tài chính của công ty ABC được xác định trọng số là 40%. Nhóm tài chính có 2 mục tiêu doanh thu và lợi nhuận. Trọng số 40% này sẽ được phân chia tiếp cho 2 mục tiêu, ví dụ doanh thu 18% và lợi nhuận 22%.
- Sắp xếp thứ tự và cho điểm. Sắp xếp các mục tiêu theo thứ tự từ quan trọng nhất đến ít quan trọng nhất. Yếu tố quan trọng nhất được xác định bằng 10 điểm. Các yếu tố còn lại được chấm điểm so với yếu tố quan trọng nhất. Sau đó tính tổng điểm quan trọng của các yếu tố và quy ra thành tỷ lệ phần trăm cho từng yếu tố.
Bước 4: Đánh giá tổng hợp về kết quả thực hiện công việc của nhân viên
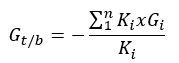
Một nhân viên có thể được đánh giá xuất sắc về mặt này, khá về mặt khác. Đánh giá tổng hợp về kết quả thực hiện công việc của nhân viên sẽ được căn cứ trên điểm số trung bình của các yêu cầu, có tính đến trọng số của các yêu cầu đó, theo công thức:

Trong đó:
- Gt/b : Điểm tổng hợp cuối cùng, đánh giá kết quả thực hiện công việc của nhân viên.
- n: Số lượng các mục tiêu trong đánh giá kết quả đối với nhân viên (xem bước 1).
- Ki: Trọng số của mục tiêu i.
- Gi: Điểm số đánh giá kết quả thực hiện công việc của nhân viên theo yêu cầu i. Gi được xác định căn cứ trên cơ sở so sánh tình hình thực hiện công việc của nhân viên với mức độ phân loại thang điểm trong bước 2.
Kết quả cuối cùng về đánh giá kết quả thực hiện công việc của một nhân viên dựa theo vào số điểm Gt/b, hoặc tỷ lệ phân loại phần trăm nhân viên hoàn thành mục tiêu như sau:
- Xuất sắc: Nếu Gt/b ³ 4 hoặc 5% – 10% nhân viên, có điểm tổng hợp trung bình cao nhất.
- Vượt trội: Nếu 3.10 £ Gt/b < 4 hoặc 15% – 20% nhân viên, có điểm tổng hợp trung bình cao tiếp theo.
- Đạt yêu cầu: Nếu 3.0 £ Gt/b < 3.10, khoảng 50-70% nhân viên, có điểm tổng hợp trung bình cao hơn 3.
- Chưa đạt: Nếu 2.0 £ Điểm tổng hợp trung bình Gt/b < 3.0.
- Quá thấp so yêu cầu: Điểm tổng hợp trung bình Gt/b < 2.0.
Lưu ý: Với cùng một chức danh công việc, tại các đơn vị, doanh nghiệp khác nhau, có thể sẽ có sự khác nhau về số lượng, nội dung KPI, chỉ tiêu và trọng số của các KPI.
Ưu điểm của phương pháp đánh giá theo kết quả công việc theo KPI:
- Tạo áp lực công việc cho nhân viên, giúp cho nhân viên hiểu rõ ràng, chính xác yêu cầu của doanh nghiệp đối với nhân viên.
- Kết nối mục tiêu cá nhân với mục tiêu doanh nghiệp.
- Định lượng đánh giá kết quả thực hiện công việc của nhân viên giúp cho các doanh nghiệp có thể dễ dàng so sánh, phân loại và có chế độ đãi ngộ phù hợp.
- Giúp cho nhân viên hiểu được những điểm mạnh, yếu của họ trong quá trình thực hiện công việc, từ đó có thể điều chỉnh, cố gắng rèn luyện phấn đấu tốt hơn.
Nhược điểm: Tốn thời gian và đòi hỏi CBQL phải hiểu công việc của cấp dưới.
Trích lược từ: Trần Kim Dung (2019) Quản trị nguồn nhân lực. NXB Kinh tế. Tái bản lần thứ 10. TP HCM
Trần Kim Dung
Bài viết có bản quyền của KeeView, xin vui lòng ghi rõ nguồn www.KeeView.com khi trích dẫn hoặc đăng lại.

